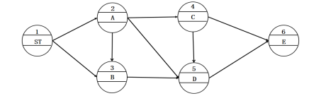
某单代号网络图如下图,关于各项工作间逻辑关系的说法,正确的是()。
发布时间:2025年11月07日 14:52 中迅网校 阅读量:943

某单代号网络图如下图,关于各项工作间逻辑关系的说法,正确的是()。

  • A

    工作B完成后只进行工作D

  • B

    工作C完成后只进行工作E

  • C

    工作A完成后只进行工作C和工作D

  • D

    工作E的紧前工作只有工作C

查看答案

分享到:

重要提醒
检测到您的账号已在其他设备登录,
请重新登录
退出登录重新登录