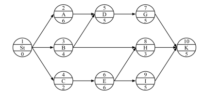
某分部工程的单代号网络计划如图所示(时间单位:天),下列关于该网络计划的说法,正确的是()。
发布时间:2025年11月07日 14:54 中迅网校 阅读量:799

某分部工程的单代号网络计划如图所示(时间单位:天),下列关于该网络计划的说法,正确的是()。

  • A

    有两条关键线路

  • B

    工作A的总时差和工作E的自由时差相等

  • C

    工作C的最迟开始时间为第5天

  • D

    工作B和工作D之间的时间间隔为0天

查看答案

分享到:

相关试题
重要提醒
检测到您的账号已在其他设备登录,
请重新登录
退出登录重新登录