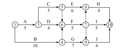
某工程项目根据各项工作之间的逻辑关系及持续时间编制的双代号网络如下图所示(时间单位:天)。则该工程项目中F工作的自由时差和总时差分别是()天。
发布时间:2025年11月07日 14:54 中迅网校 阅读量:907

某工程项目根据各项工作之间的逻辑关系及持续时间编制的双代号网络如下图所示(时间单位:天)。则该工程项目中F工作的自由时差和总时差分别是()天。

  • A

    0,2

  • B

    0,1

  • C

    1,1

  • D

    1,2

查看答案

分享到:

重要提醒
检测到您的账号已在其他设备登录,
请重新登录
退出登录重新登录