首页
购课
直播
题库
图书商城
企业团报
资讯
资讯
题库
课程
0
登录
/
注册
学习币:
余额:
我的服务
我的课程
我的题库
我的订单
我的资料
退出登录
二级建造师
招生简章
NEW
资讯
资料
APP下载
工程类
试验检测师&助理
二级建造师
监理工程师
一级建造师
安全工程师
当前位置 >
二级建造师
>
模拟试题
>
施工管理
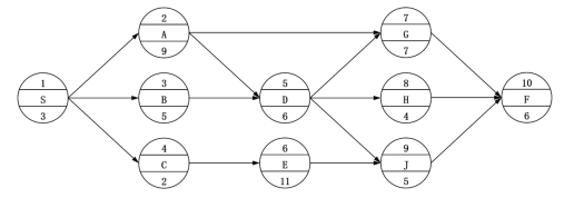
某工程单代号网络计划如下图所示,图中节点下方数字为相应工作的持续时间。下列工作中,属于非关键工作的有()。
发布时间:2025年11月07日 14:59
中迅网校
阅读量:30
某工程单代号网络计划如下图所示,图中节点下方数字为相应工作的持续时间。下列工作中,属于非关键工作的有()。
A
工作A
B
工作B
C
工作C
D
工作D
E
工作E
查看答案
参考答案:
BCE
参考解析:
分享到:
上一题:关于网络图绘图规则的说法,正确的有()。
下一题:某工程双代号网络图计划如下图所示,图中算线上方数字为相应工作的最早开始时间和最迟开始时间,该网络计划显示的正确信息有()。
相关试题
更多...
关于材料采购合同质量保证期和履约保证金的描述,下列选项中说法正确的是()。
已有26人浏览
某工程需开挖土方量为500m3,人工定额是2.0m3/工日,一班制作业,拟安排10人,则持续时间是()天。
已有26人浏览
下列定额中,属于施工企业内部使用的,以基本工序为研究对象编制的定额是()。
已有28人浏览
在双代号网络图中,为了正确地表达图中工作之间的关系,往往需要用到虚箭线,虚箭线不代表实际工作,称为虚工作。虚工作表示工作之间的()。
已有25人浏览
施工组织总设计对整个工程项目施工过程所起的作用是()。
已有25人浏览
绿色施工目标是指有关法律法规、工程建设标准对工程施工的绿色要求。“四节一环保”指()。
已有21人浏览
某土方工程计划施工至5月底完成工程量9000立方米,预算单价76元/立方米,实际施工至5月底完成工程量5600立方米,实际单价78元/立方米。采用挣值法分析,工程进度绩效指数为()。
已有21人浏览
下列选项中,不属于工程质量监督机构监督准备工作的是()。
已有24人浏览
下列关于分部分项工程成本分析的说法,正确的有()。
已有22人浏览
某工程双代号网络图计划如下图所示,图中算线上方数字为相应工作的最早开始时间和最迟开始时间,该网络计划显示的正确信息有()。
已有31人浏览
热门资讯
· 注册建造师一年内变更注册单位2次及以上的,在资质审批中不作为有效人员认定!
· 住建委:二级建造师能担任监理单位的监理工程师!
· 372人不合格!河南省发布2025年二建考后资格核查结果
· 建造师证书如果在短期内多次重新注册在新的企业,是否会撤销证书?
· 内蒙古考区:关于发放2025年度二级建造师执业资格电子证书的通知
· 西藏考区:2025年二建合格标准公布!附合格名单
· 住建局:对技术负责人业绩真实性进行全覆盖核查!
· 山东住建厅答复:不注册不影响资格证书,资格证书一直有效!
· 【考后审核】关于开展2025年度二级建造师资格考试考后资格复核工作的通知
· 湖南考区:开展2025年二建考后审核,考生须按时上传资料!
微信服务号
微信扫码关注获取福利
热门新闻
考试资讯
报名通知
直播提醒
重要提醒
检测到您的账号已在其他设备登录,
请重新登录
退出登录
重新登录