案例8【背景资料】:甲开发公司与乙施工单位签订了某写字楼工程的施工总承包合同。施工前,施工单位编制了单位工程进度计划,网络计划图如下所示(单位:周),各工作均按最早开始时间施工。由于设计变更,要求A工作结束后才能开始E工作和F工作,而D工作需增加2周才能完成。为了能按期完工,施工单位采用调整关键线路改变施工进度计划的方法制定了赶工措施。赶工费用和各工作可压缩工期如下表所示。【问题】1.草绘出设计变更后的网络计划图。施工单位该如何制定赶工措施,写出赶工步骤和可压缩的总费用。
发布时间:2025年11月12日 16:32 中迅网校 阅读量:996

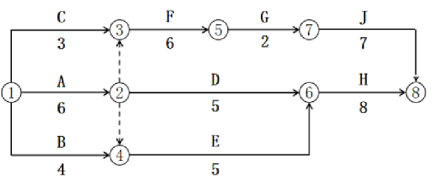
案例8【背景资料】:
甲开发公司与乙施工单位签订了某写字楼工程的施工总承包合同。
施工前,施工单位编制了单位工程进度计划,网络计划图如下所示(单位:周),各工作均按最早开始时间施工。由于设计变更,要求A工作结束后才能开始E工作和F工作,而D工作需增加2周才能完成。为了能按期完工,施工单位采用调整关键线路改变施工进度计划的方法制定了赶工措施。赶工费用和各工作可压缩工期如下表所示。

【问题】
1.草绘出设计变更后的网络计划图。施工单位该如何制定赶工措施,写出赶工步骤和可压缩的总费用。

查看答案

分享到:

相关试题
重要提醒
检测到您的账号已在其他设备登录,
请重新登录
退出登录重新登录